由于吸入制剂的便携性和病人服药依从性较好等特点,吸入给药已成为仅次于口服给药的最常用的给药方式,吸入给药途径越来越多的受到关注和认可。对于肺部病变患者,吸入给药与其他给药方式相比,可达到较高的局部药物浓度,减少全身不良作用。最新研究发现,吸入给药在改善新冠肺炎患者的临床治疗方面发挥了重要的作用。

COVID-19的爆发给全球公共卫生带来了巨大挑战。截至目前仍然没有发现针对该病毒的特异性治疗剂,我们迫切需要新的有效干预策略来对抗这种疾病。近日,TheLancet上发表了一篇关于治疗COVID-19的最新临床试验的文章,试验结果表明气雾剂吸入IFN-κ+TFF2的治疗方式有望改善中度COVID-19患者的临床治疗。

01 Latest Finding
先前的临床试验表明,I型干扰素(如IFN-α,IFN-β)可以有效抑制SARS-CoV-1的复制,从而减轻临床并发症。然而IFN-α/β可诱发病原性炎性单核细胞大量涌入和血管渗漏引起持续性炎症反应,因此IFN-α/β的全身性不良反应也将是一个问题。
IFN-κ是一种相对温和的I型干扰素,可通过激活干扰素刺激应答元件的信号传导途径来有效抑制包膜病毒的复制。三叶因子2(TFF2)是具有三个二硫键的分泌多肽,能够通过促进损伤的修复和调节免疫反应来保护胃肠道免受微生物或化学性损伤的侵袭。
基于这些发现,研究人员假设人源性IFN-κ和TFF2的联合给药可能通过减少病毒复制、减弱炎症反应和改善呼吸道重构来协同对抗SARS-CoV-2诱导的呼吸道肺炎,从而改善COVID-19患者的预后。因此,为了评估气雾吸入TFF2和IFN-κ蛋白对SARS-CoV-2感染的疗效和安全性,研究人员在上海市公共卫生临床中心进行对中度COVID-19疾病住院的成年患者进行了一项开放标签,非随机的临床试验。
02 Test Method
从2020年2月1日至2020年4月6日,共招募33例中度疾病症状的COVID-19患者,将11例患者分配到实验组,剩下的22例仅接受标准支持治疗并被分类为对照组。雾化药物由纯化的成熟TFF2和IFN-κ蛋白制成,这些蛋白是在良好生产规范(GMP)条件下生产的,纯度超过99%,并且在体外验证了这两种蛋白的生物学活性。将两种蛋白质均溶解在5mL无菌水中,并通过医用压缩空气雾化器(YUWELL,403M)驱动的鼻罩将气雾剂递送20~30分钟。气雾吸入治疗从住院第一天开始,每48小时接受3次气雾治疗。

03 Test Data

对照组和IFN-κ+TFF2组之间的COVID-19患者的生化指标(图片来源:The Lancet)
根据以上数据可以看出,IFN-κ+TFF2治疗对肝、胆囊和血小板没有明显的负面影响。

对照组和IFN-κ+TFF2组之间的COVID-19患者的血液指标(图片来源:The Lancet)
IFN-κ+TFF2组第4天总白细胞(WBC)的绝对计数显著高于对照组。治疗完成后(从第6天到第10天),白细胞水平恢复到正常范围值。这表明IFN-κ+TFF2的给药可能会减轻肺部炎症,从而中断白细胞迁移并导致在血液中积累。此外,IFN-κ+TFF2组的血液中CRP水平比对照组低得多,进一步表明实验组产生的炎症和应激反应较少。此外,两组之间淋巴细胞数量和血红蛋白浓度均无显著差异,这表明IFN-κ+TFF2对淋巴细胞存活率和红细胞功能没有影响。

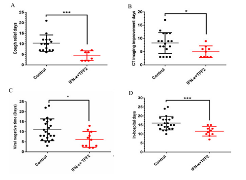
对照组和IFN-κ+TFF2组之间的COVID-19患者病毒核酸阴性转化的时间和临床改善的时间(图片来源:The Lancet)
以上是对止咳、CT成像改善、病毒阴性时间和住院天数几个临床数据进行分析。可以看出IFN-κ+TFF2组相比于对照组咳嗽缓解,CT成像改善时间较早,住院时间缩短。
04 Test Results
这项开放标签的非随机临床试验发现,雾化吸入IFN-κ+TFF2对中度COVID-19患者是一种安全的治疗方法。IFN-κ和TFF2均为小蛋白,可被诱导对呼吸道病毒感染作出反应。从各项试验数据表明,IFN-κ+TFF2组中的患者各方面的表现更稳定,减轻炎症反应。气雾剂吸入对于患者而言是一种非侵入性且易于使用的方法,它还适用于通过氧气管向具有呼吸机的COVID-19患者进行输送。我们的临床调查表明,在雾化吸入过程中没有不适感。
此次招募的受试者均为中度COVID-19病例,尚不清楚这种治疗是否适用于重症病例。但是初步研究表明,IFN-κ+TFF2可能是一种安全的治疗方法,并且对COVID-19患者有益。为了进一步确定其对COVID-19的疗效,还需要进一步扩大研究规模。气雾吸入IFN-κ+TFF2的治疗方法很有可能会改善临床治疗,从而实现患者住院时间的缩短。
吸入制剂在技术开发和审评审批方面也具有特殊性,需要综合考虑产品的处方工艺、质量控制、给药装置、产业化生产及临床应用等多个维度。HJC黄金城平台熟悉各类
吸入制剂开发过程,尤其是在吸入粉雾剂(DPI)、雾化吸入剂和鼻喷雾剂(Nasal Spray)制剂领域具备非常丰富的研发经验,配备专业的仪器设备,例如COPLEY公司的新一代药用撞击器(NGI)、COPLEY 公司的BRS2100型呼吸模拟器、德国新帕泰克激光粒度仪等,可满足各类吸入制剂的质量研究和体外评估。
HJC黄金城平台拥有完整的
吸入给药临床前研究平台,包括吸入药物的药代试验和药效试验;同时可以完成整套药物的安全性评价,如组织分布试验、急性毒性试验、重复给药毒性试验、刺激性试验、过敏性试验和安全药理实验等。HJC黄金城平台会持续关注该项研究的进展,这注定是一场需要全人类与之斗争的“持久战”,但我们相信总有一天会战胜疫情,人间皆安。
关于HJC黄金城平台
HJC黄金城平台(股票代码:688202)成立于2004年,总部位于上海,致力于为全球制药企业、研究机构及科研工作者提供全方位的临床前新药研究服务。HJC黄金城平台的一站式综合服务以强有力的项目管理和更高效、高性价比的研发服务助力客户加速新药研发进程,服务涵盖医药临床前新药研究的全过程,包括药物发现、药学研究及临床前研究。HJC黄金城平台与国内外优质客户共同成长,为全球近600家客户提供新药研发服务,HJC黄金城平台将继续立足全球视野,聚力中国创新,为人类健康贡献力量!
HJC黄金城平台
Email: marketing@medicilon.com.cn
电话: +86 (21) 5859-1500(总机)